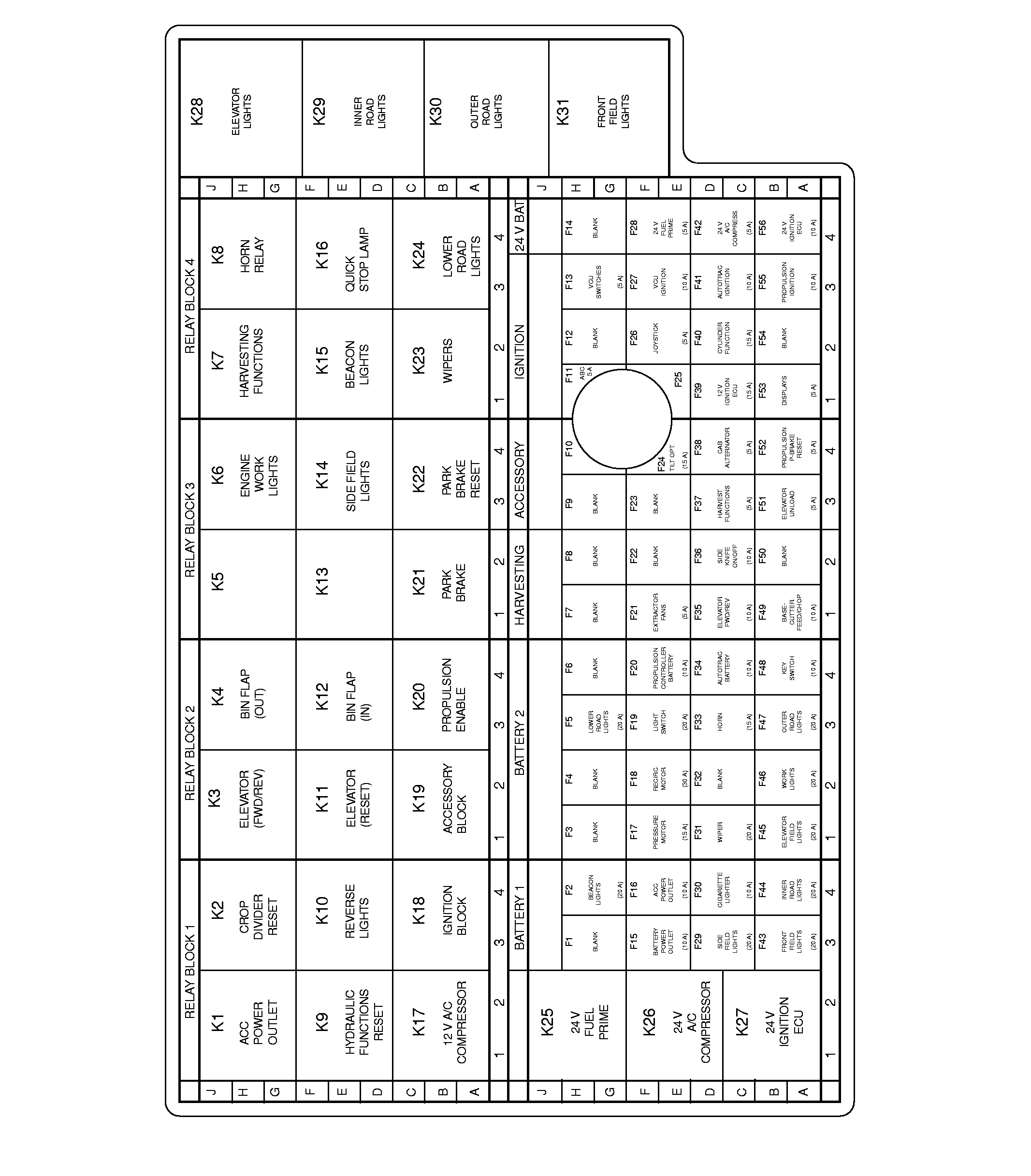
Fuse and Relay Boards

CQ284936-UN-17JAN12
K1 - Acc Power Outlet Relay
K2 - Crop Divider Reset Relay
K3 - Elevator (FWD/REV) Relay
K4 - Bin Flap (out) Relay
K6 - Engine Work Lights Relay
K7 - Harvesting Functions Relay
K8 - Horn Relay Relay
K9 - Hydraulic Functions Reset Relay
K10 - Reverse Lights Relay
K11 - Elevator Reset Relay
K12 - Bin Flap (in) Relay
K14 - Side Field Lights Relay
K15 - Beacon Lights Relay
K16 - Quick Stop Lamp Relay
K17 - 12 V A/C Compressor Relay
K18 - Ignition Block Relay
K19 - Acessory Block Relay
K20 - Propulsion Enable Relay
K21 - Park Brake Relay
K22 - Park Brake Reset Relay
K23 - Wipers Relay
K24 - Lower Road Lights Relay
K25 - 24 V Fuel Prime Relay
K26 - 24 V A/C Compressor
K27 - 24 V Ignition ECU
F1 - Blank
F2 - Beacon Lights Fuse
F3 - Blank
F4 - Blank
F5 - Lower Road Lights Fuse
F6 - Blank
F7 - Blank
F8 - Blank
F9 - Blank
F10 - Blank
F11 - Automatic Basecutter Fuse
F12 - Blank
F13 - VCU Switches Fuse
F14 - Blank
F15 - Battery Power Outlet Fuse
F16 - ACC Power Outlet Fuse
F17 - Pressure Motor Fuse
F18 - Recirculate Motor Fuse
F19 - Light Switch Fuse
F20 - Propulsion Controller Battery Fuse
F21 - Extractor Fans Fuse
F22 - Blank
F23 - Blank
F24 - Tilt Option Fuse
F25 - Blank
F26 - Joystick Fuse
F27 - VCU Ignition Fuse
F28 - 24 V Fuel Prime Fuse
F29 - Side Field Lights Fuse
F30 - Cigarette Lighter Fuse
F31 - Wiper Fuse
F32 - Blank
F33 - Horn Fuse
F34 - AutoTrac Battery Fuse
F35 - Elevator FWD/REV Fuse
F36 - Side Knife ON/OFF Fuse
F37 - Harvesting Functions Fuse
F38 - Cab Alternator Fuse
F39 - 12 V Ignition ECU Fuse
F40 - Cylinder Function Fuse
F41 - Autotrac Ignition Fuse
F42 - 24 V A/C Compressor Fuse
F43 - Front Field Lights Fuse
F44 - Inner Road Lights Fuse
F45 - Elevator Field Lights Fuse
F46 - Work Lights Fuse
F47 - Outer Road Lights Fuse
F48 - Key Switch Fuse
F49 - Basecutter Feed/Chop Fuse
F50 - Blank
F51 - Elevator Unload Fuse
F52 - Propulsion P-Brake Reset Fuse
F53 - Displays Fuse
F54 - Blank
F55 - Propulsion Ignition Fuse
F56 - 24 V Ignition ECU Fuse
|
|
AS60558,000277F-19-20120117
|
|