Canal 26: Programme de liage ficelle pour le lin

Sous ce programme, deux ficelles sont alimentées en continu au centre de la balle pendant la formation de la balle pour séparer les couches de matériau. Lorsque le diamètre de balle voulu est atteint, un cycle de liage normal démarre pour lier la balle.

Sous "CH026", appuyer sur la touche "PLUS" pour activer le programme. "ON" apparaît sur l'afficheur LCD.

Appuyer sur la touche "MOINS" pour désactiver le programme. "OFF" apparaît sur l'afficheur LCD.

CC1019121

OUCC006,0000312 -28-12FEB01-1/2


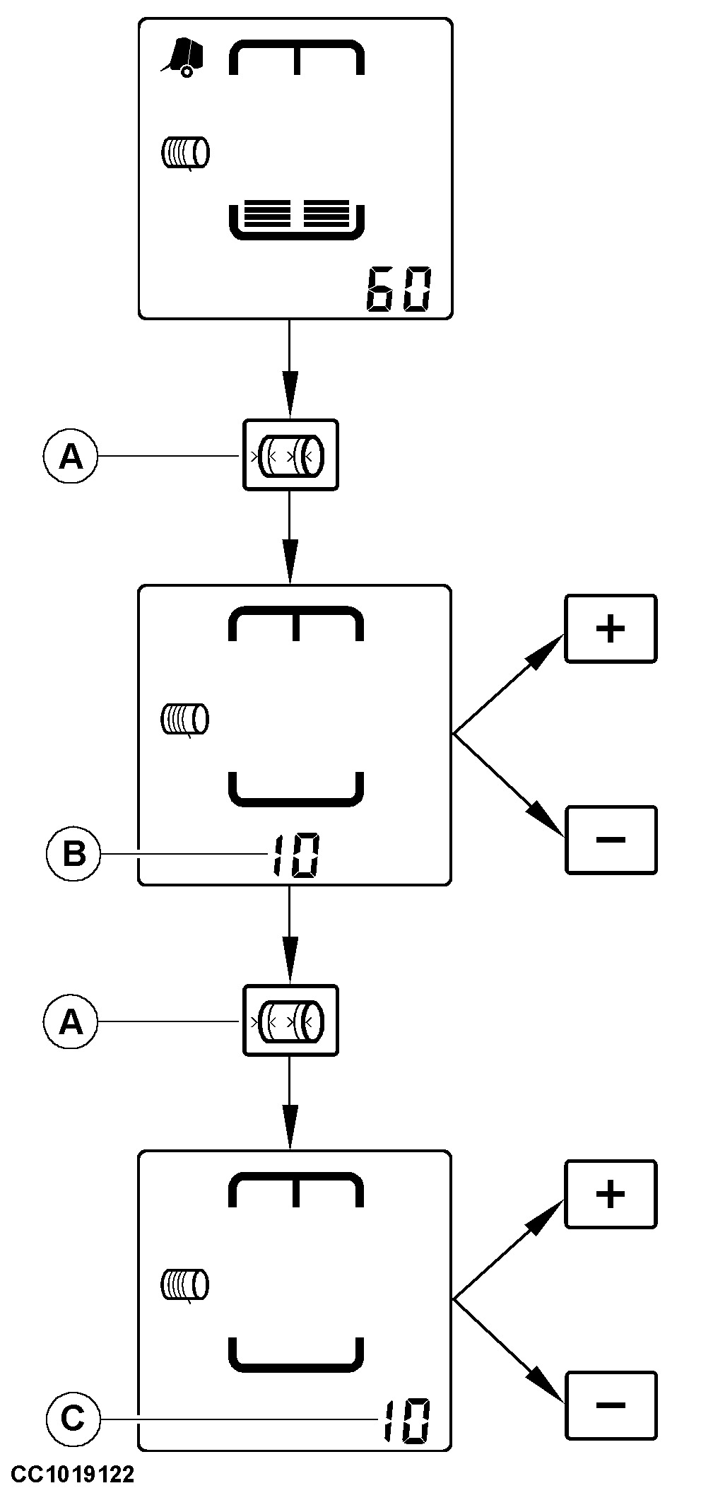
Lorsque le programme de liage ficelle pour le lin est sélectionné (programme activé sous le canal 26), les distances ficelle/bord de balle droit ou ficelle/bord de balle gauche peuvent être réglées séparément.

Appuyer sur la touche "DISTANCE FICELLE/BORD DE BALLE" (A), les deux chiffres (B) affichés à gauche indique la distance du côté gauche. Appuyer sur les touches "PLUS" ou "MOINS" pour régler la distance. Appuyer sur la touche "DISTANCE FICELLE/BORD DE BALLE" (A), les deux chiffres (B) affichés à droite indique la distance du côté droit. Appuyer sur les touches "PLUS" ou "MOINS" pour régler la distance.

Le dernière distance ficelle/bord de balle affichée est mémorisée après cinq secondes.


A-Touche "distance ficelle/bord de balle"
B-À gauche
C-À droite

CC1019122

OUCC006,0000312 -28-12FEB01-2/2