Canal 26: Programa de atado para lino

En este programa se introducen continuamente dos cabos de cuerda en el centro de la paca, durante su formación para permitir la posterior separación de las capas. Al alcanzarse el diámetro de paca deseado se inicia un ciclo de atado nuevo para atar la paca.

En "CH026", pulsar la tecla "PLUS" para activar el programa. En la pantalla aparece "CONECTADO".

Pulsar la tecla "MENOS" para desconectar el programa. En la pantalla aparece "DESCONECTADO".

CC1019121

OUCC006,0000312 -63-12FEB01-1/2


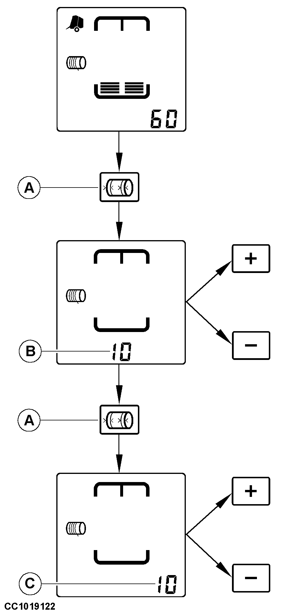
Al activar el programa de atado de lino (programa "CONECTADO" en el canal 26), la distancia del atado al extremo de la paca del lado derecho e izquierdo puede ser ajustado por separado.

Pulsar la tecla "DISTANCIA DE ATADO" (A), los dos dígitos de la izquierda (B) indican la distancia al lado izquierdo. Pulsar las teclas "MÁS" o "MENOS" para ajustarla. Pulsar por segunda vez la tecla "DISTANCIA DE ATADO" (A), los dos dígitos de la derecha (C) indican la distancia al lado derecho. Pulsar las teclas "MÁS" o "MENOS" para ajustarla.

La última distancia de atado que aparece en la pantalla es guardada después de cinco segundos.


A-Tecla de distancia de extremos de atado
B-Distancia del lado izquierdo
C-Distancia del lado derecho

CC1019122

OUCC006,0000312 -63-12FEB01-2/2