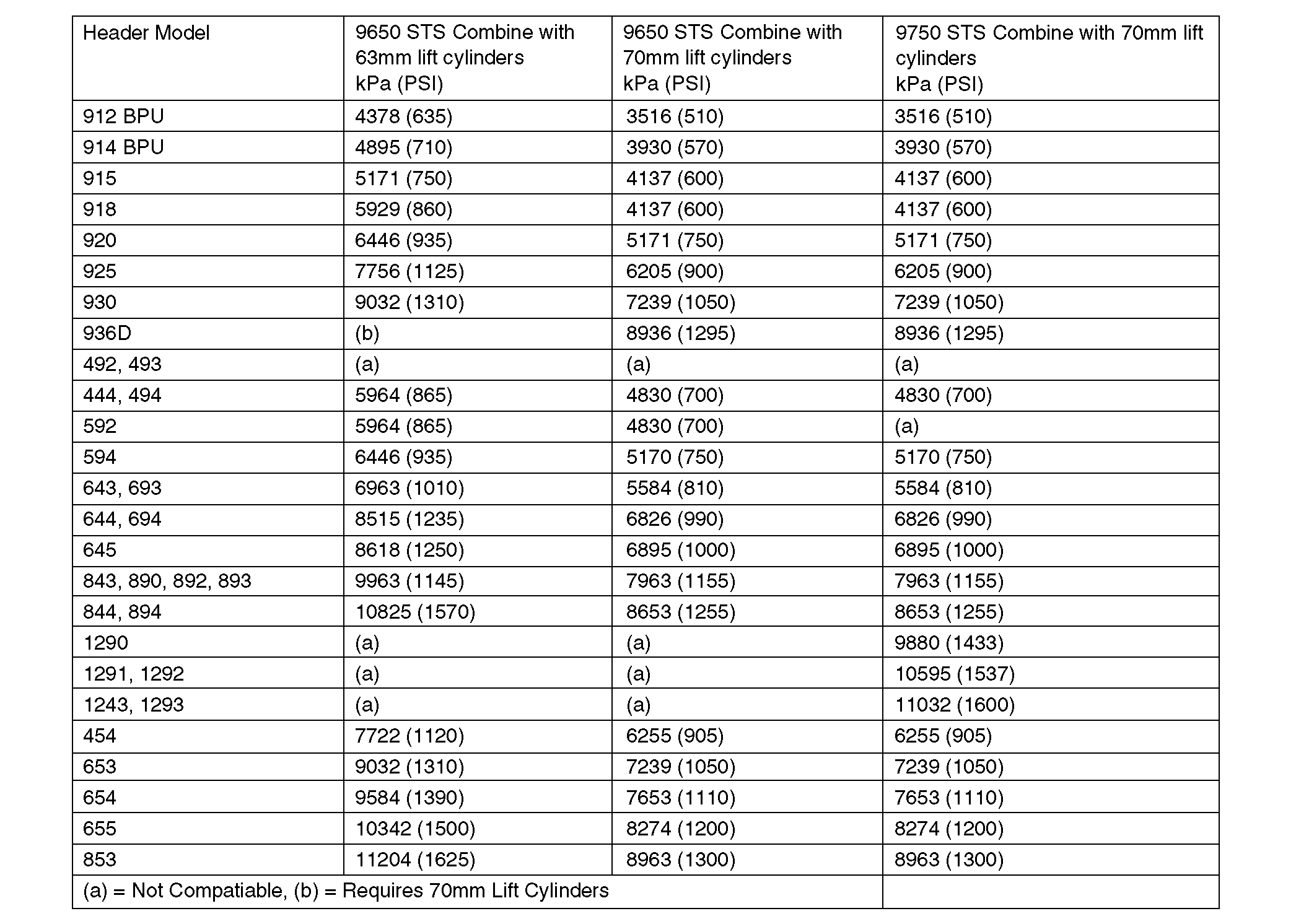
Presión de precarga del acumulador

H58812

AG,OUO1035,1607 -63-24JAN00-1/1