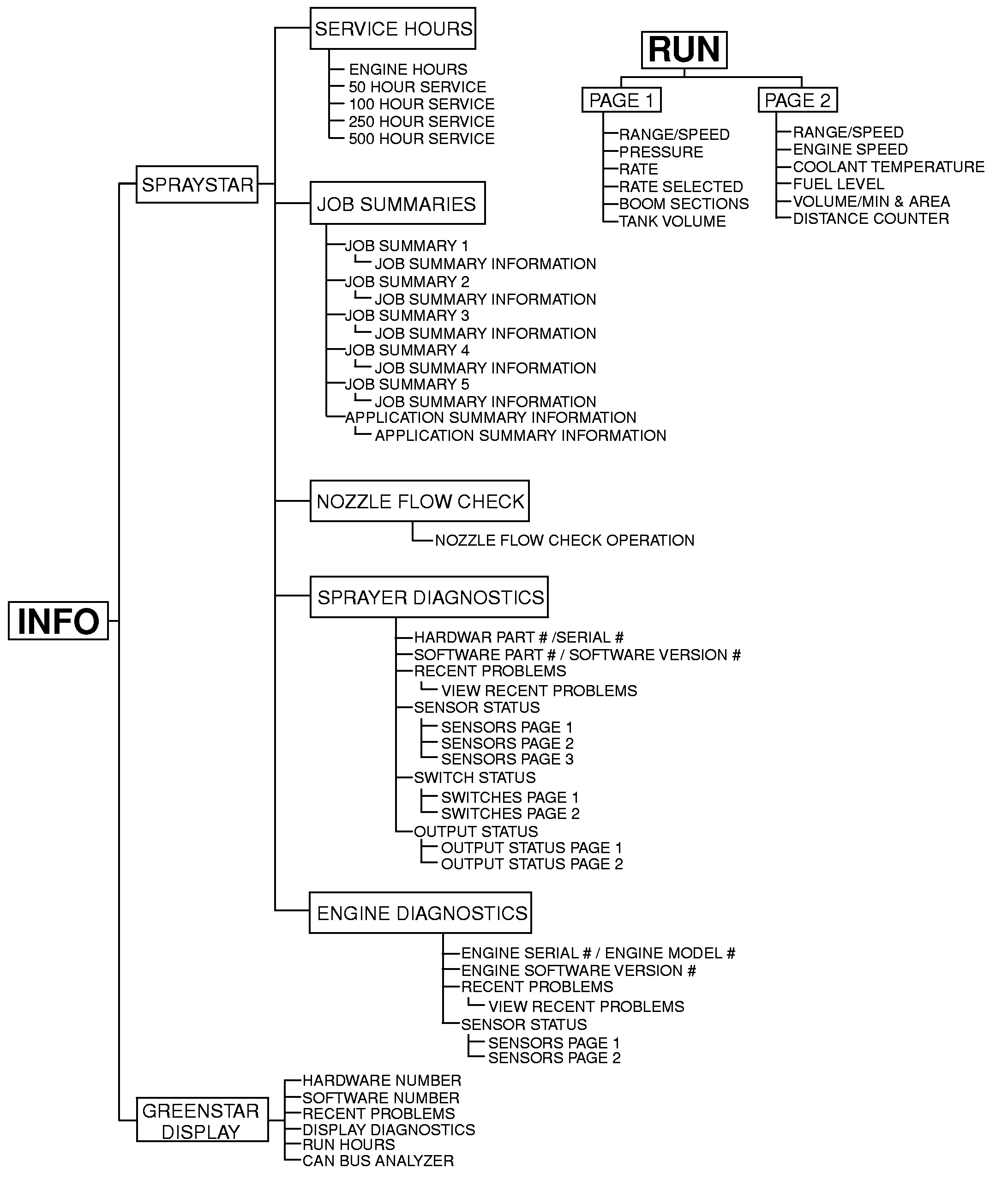
Quick Reference Chart of SPRAYSTAR™ Display Screens

N70529

OUO6092,000082A -19-11JUL05-1/2


N70530

OUO6092,000082A -19-11JUL05-2/2